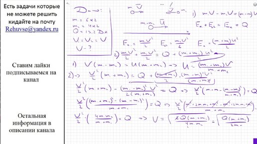
Физика Шары массами 6 и 4 кг, движущиеся на встречу друг другу с одинаковыми по модулю скоростями, соударяются, после чего движутся вмести