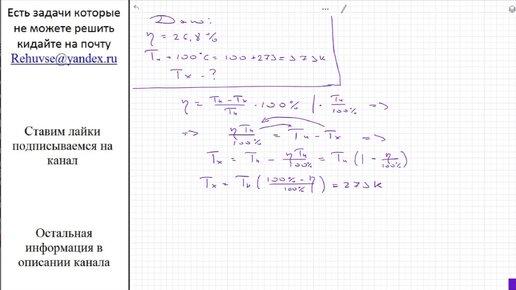
Физика КПД теплового двигателя составил 26,8 %. Чему равна температура холодильника, если температура нагревателя составляет 100 градусов