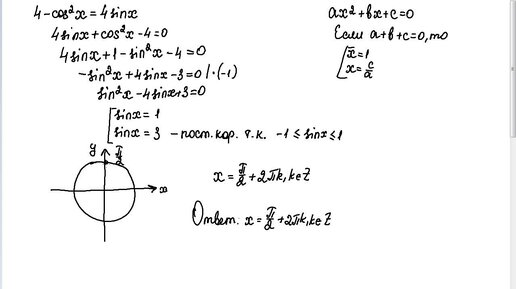
Решение несложного тригонометрического уравнения из сборника Ткачука. Задание №12 из ЕГЭ по профильной математике