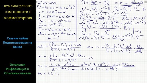
Физика В открытый контейнер объемом 80 мл поместили изотоп полония 210 (84 210)Po. Затем контейнер герметично закрыли. Изотоп полония