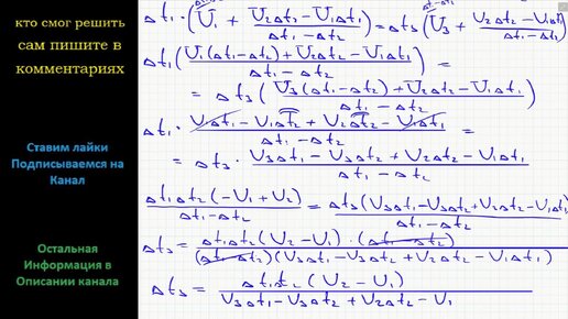
Физика В калориметр со встроенным электронагревателем налили 50 мл воды при комнатной температуре Затем электронагреватель включили на 10