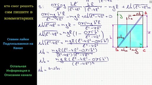
Физика В гладкий высокий стакан радиусом 4 см поставили однородную тонкую палочку длиной 10 см и массой 0,9 г после чего в стакан налили до