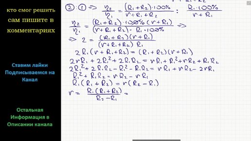
Физика При подключении к источнику тока резистора R1 = 18 Ом, а затем последовательно с ним резистора R2 = 63 Ом коэффициент полезного