Найти в Дзене
Войти
1,0×
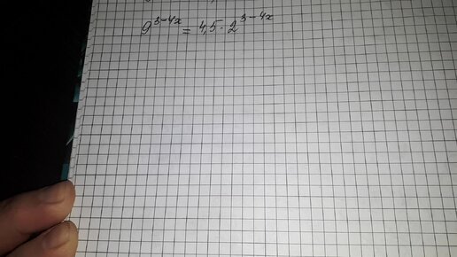
Решаем показательное уравнение.
133 просмотра · 3 года назад
00:00
/
02:12
Изучаем математику без репетитора
512 подписчиков
Подписаться
Хотите видеть больше публикаций по теме «Образование»?
Давайте
Образование
4,84 млн интересуются
Следить за темой
2646513550.1840.1766211272768.28770