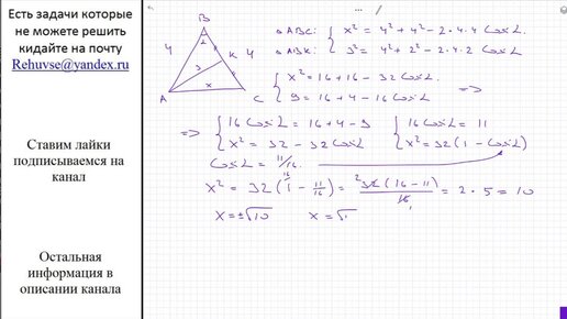
Математика В равнобедренном треугольнике с боковой стороной, равной 4 см, проведена медиана боковой стороны. Найдите основание треугольника