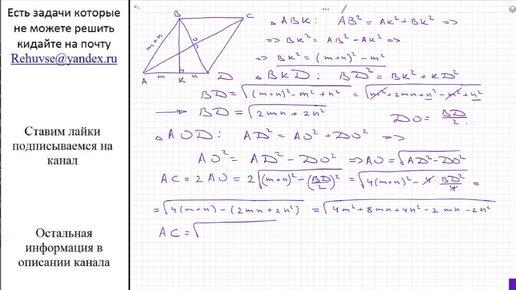
Математика Высота ромба, проведенная из вершины тупого угла, делит его сторону на отрезки m и n, считая от вершины острого угла. Определить