Найти в Дзене
Войти
1,0×
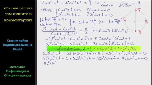
Математика Решите уравнение Cos^(-2) 2t-Sin^(-2) 2t=8/3
12 просмотров · 3 года назад
00:00
/
08:53
ReshuVse
1083 подписчиков
Подписаться
393619533.1054.1776724290440.80521