Найти в Дзене
Войти
1,0×
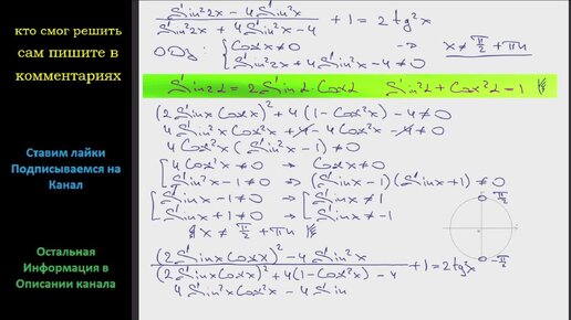
Математика Решите уравнение (Sin^2 2x - 4Sin^2 x)/(Sin^2 2x + 4Sin^2 x - 4)+1=2tg^2 x
74 просмотра · 3 года назад
00:00
/
09:27
ReshuVse
1084 подписчиков
Подписаться
1347242300.940.1776813447975.77995