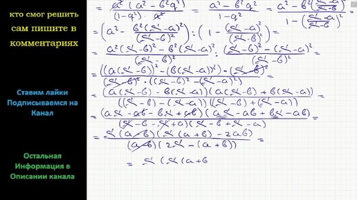
Математика В конечной геометрической прогрессии известны ее первый член a, последний член b и сумма S всех ее членов. Найти сумму квадратов