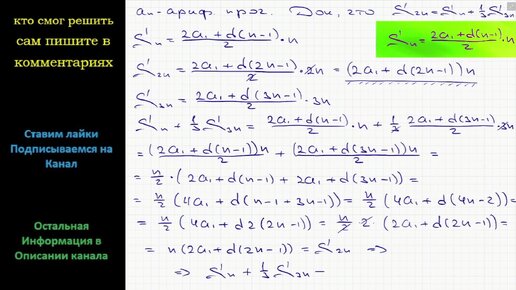
Математика Показать, что для всякой арифметической прогрессии при любом n выполняется равенство S2n = Sn + 1/3 S3n