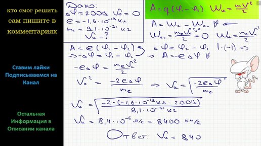
Физика Электрон переместился в электрическом поле в точку потенциал которой на 200 В выше потенциала начальной точки Какую скорость приобрел