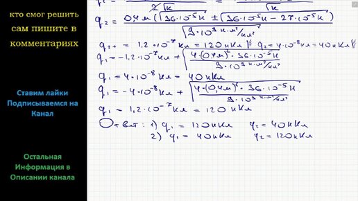
Физика Два одинаковых маленьких заряженных шарика, находясь на расстоянии 40 см один от другого в вакууме, отталкиваются с силой 270 мкН