Найти в Дзене
Войти
1,0×
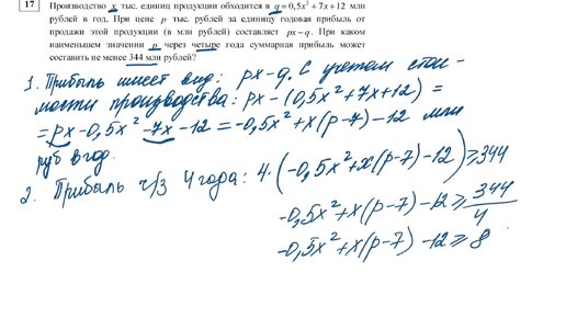
Задача на оптимизацию из ЕГЭ по математике профильного уровня.
530 просмотров · 3 года назад
00:00
/
09:18
Математика с Ольгой
6224 подписчиков
Подписаться
Хотите видеть больше публикаций по теме «Подготовка к ЕГЭ»?
Давайте
Образование
4,84 млн интересуются
Следить за темой
3777985357.1576.1761034543850.26316