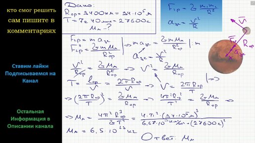
Физика Радиус круговой орбиты, по которой движется Фобос (спутник планеты Марс), равен 9400 км, а период его обращения 7 ч 40 мин. Найдите