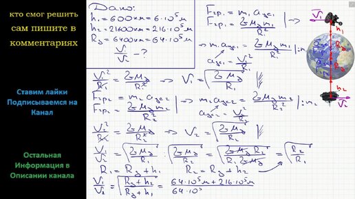
Физика Во сколько раз различаются скорости искусственных спутников Земли, движущихся по круговым орбитам на высоте 600 и 21600 км? Считайте