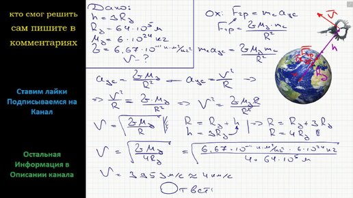
Физика Вычислить скорость движения спутника по круговой орбите, высота которой над поверхностью Земли равна трем радиусам Земли