Найти в Дзене
Войти
1,0×
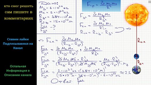
Физика К какому небесному телу – Земле или Солнцу – Луна притягивается сильнее? Во сколько раз?
25 просмотров · 3 года назад
00:00
/
03:58
ReshuVse
1014 подписчиков
Подписаться
3752607079.1453.1766226890501.92554