Найти в Дзене
Войти
1,0×
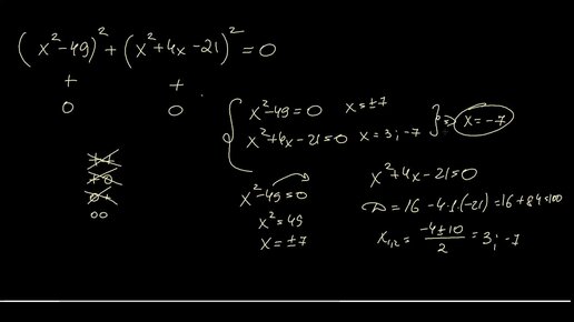
Задание #20 из ОГЭ по математике | Пример из комментариев
439 просмотров · 3 года назад
00:00
/
05:58
Матеша за 300. ЕГЭ/ОГЭ
359 подписчиков
Подписаться
99845838.827.1776891800857.61274