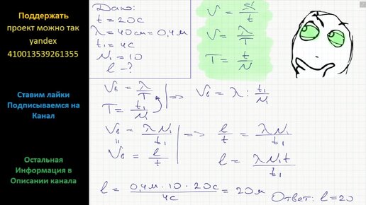
Физика В безветренную погоду на озере из лодки сбросили тяжелый якорь От места бросания пошли волны. Стоящий на берегу человек заметил что