Найти в Дзене
Войти
1,0×
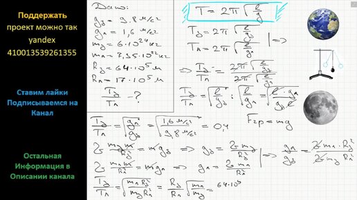
Физика Изменится ли период колебаний нитяного маятника, если маятник перенести с Земли на Луну?
37 просмотров · 3 года назад
00:00
/
05:15
ReshuVse
1083 подписчиков
Подписаться
611851715.957.1776709825156.91781