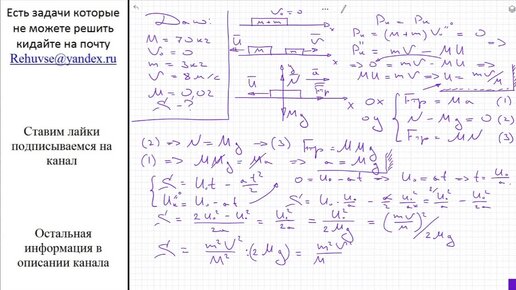
Физика Конькобежец массой М = 70 кг, стоящий на коньках на льду, бросает в горизонтальном направлении камень массой m = 3 кг со скоростью