Найти в Дзене
Войти
1,0×
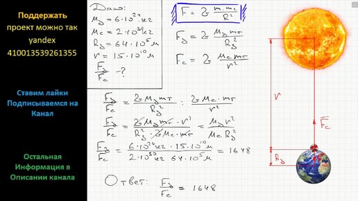
Физика Оцените, во сколько раз различаются силы притяжения вашего тела к Земле и к Солнцу
55 просмотров · 3 года назад
00:00
/
02:47
ReshuVse
1012 подписчиков
Подписаться
2337875327.1834.1766134510866.95538