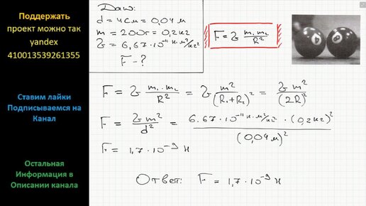
Физика Чему равна сила тяготения между двумя одинаковыми бильярдными шарами диаметром 4 см в момент столкновения (рис.)? масса каждого шара