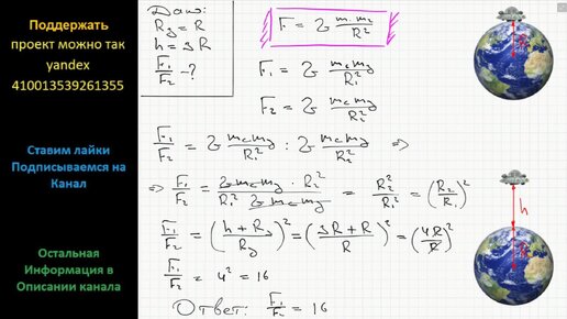
Физика Во сколько раз сила притяжения Землей искусственного спутника больше на поверхности Земли, чем на высоте трех земных радиусов над ее