Найти в Дзене
Татьяна Нарушева
815 подписчиков
Все о логарифмах
Подборка · 
Татьяна Нарушева
 · 27 из 47
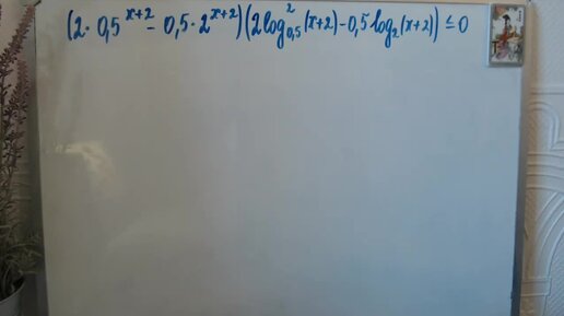
Далее: н9 Сложное показательное+логарифмическое неравенство Задание 15 ЕГЭ профильная математика
Все о логарифмах  · 27 из 47