Найти в Дзене
Татьяна Нарушева
813 подписчиков
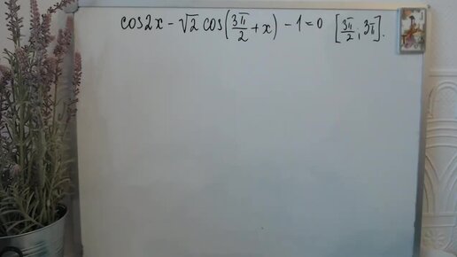
Тригонометрические уравнения и неравенстваств
Подборка · 
Татьяна Нарушева
 · 21 из 50
Далее: н8 Нестандартное тригонометрическое уравнение 13 Пробник ЕГЭ профиль 29.02.2020 _
Тригонометрические уравнения и неравенстваств · 21 из 50