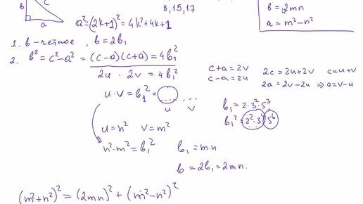
Формулы Пифагоровых троек - целочисленных решений Теоремы Пифагора, Математика, Олимпиады, Старшие классы