Найти в Дзене
Войти
1,0×
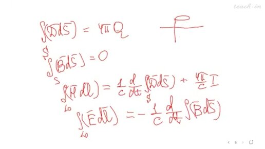
Останина М.В. - Электродинамика. Часть 2 - 1. Электростатика проводников. Метод изображений
52 просмотра · 3 года назад
00:00
/
01:17:48
Teach-In
12,6 тыс подписчиков
Подписаться
3192579198.862.1777373689195.32378