Найти в Дзене
Войти
1,0×
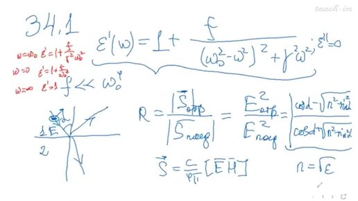
Останина М.В. - Электродинамика. Часть 2 - 14. Отражение электромагнитных волн
68 просмотров · 3 года назад
00:00
/
20:00
Teach-In
12,6 тыс подписчиков
Подписаться
3077637118.901.1776930122639.74392