Найти в Дзене
Войти
1,0×
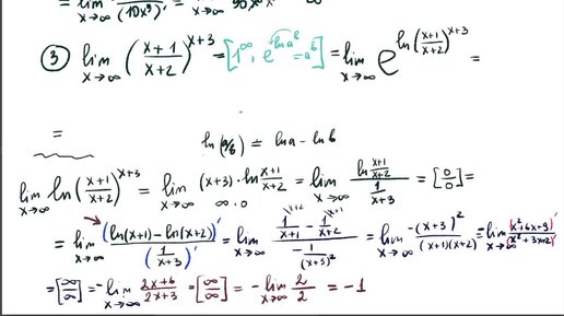
Хитрые (дурные) задачки на правило Лопиталя (консультация)
378 просмотров · 3 года назад
00:00
/
39:54
Математика для хомяков
2862 подписчиков
Подписаться
3746239397.2001.1766744380484.31303