Найти в Дзене
Войти
1,0×
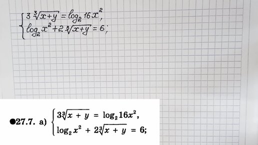
Рассматриваем решение системы уравнений из учебника по математике для 11 класса Мордковича.
514 просмотров · 3 года назад
00:00
/
10:31
Математика - это просто и интересно!
9707 подписчиков
Подписаться
Хотите видеть больше публикаций по теме «Образование»?
Давайте
Образование
4,84 млн интересуются
Следить за темой
611851715.1795.1766452018584.10936