Найти в Дзене
Войти
1,0×
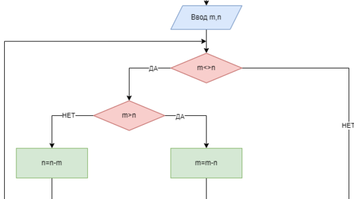
Пример нахождения НОД (наименьшего общего делителя) для двух чисел с помощью алгоритма Евклида.
845 просмотров · 3 года назад
00:00
/
05:32
Робототехника
57,5 тыс подписчиков
Подписаться
Хотите видеть больше публикаций по теме «Евклид»?
Давайте
Образование
4,84 млн интересуются
Следить за темой
2654357652.1998.1766438595341.39734