Найти в Дзене
Войти
1,0×
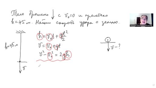
10 класс тема 4
64 просмотра · 3 года назад
00:00
/
09:05
"Кванториум - физика", школа №23, город Ковров
38 подписчиков
Подписаться
Хотите видеть больше публикаций по теме «Образование»?
Давайте
Образование
4,84 млн интересуются
Следить за темой
3077637118.1206.1760112049540.53099