Найти в Дзене
Войти
1,0×
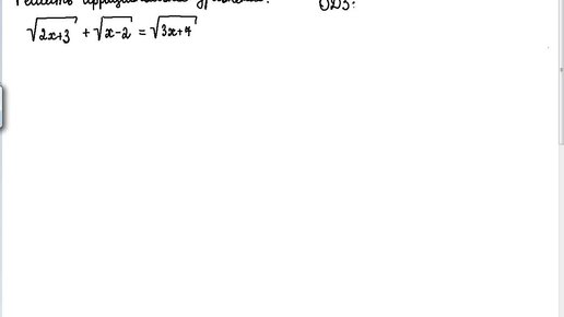
Решение иррационального уравнения
516 просмотров · 3 года назад
00:00
/
13:20
Уроки физики и математики
13 подписчиков
Подписаться
1353711287.1775.1765851941940.13387