Найти в Дзене
Войти
1,0×
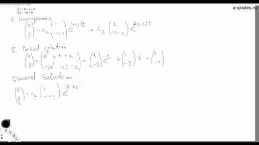
Математика - решение системы дифференциальных уравнений
111 просмотров · 3 года назад
00:00
/
16:19
Владимир Сухомлинов
17 подписчиков
Подписаться
Хотите видеть больше публикаций по теме «Образование»?
Давайте
Образование
4,84 млн интересуются
Следить за темой
2135335172.1695.1764761708594.74222