Найти в Дзене
Войти
1,0×
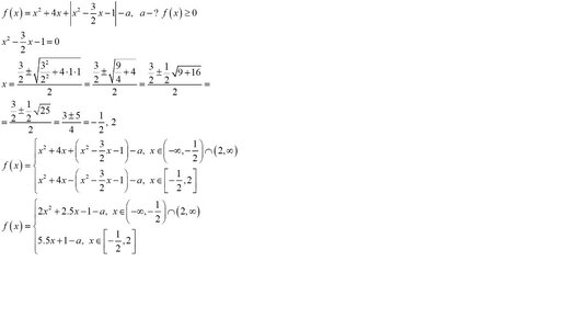
Нужна неотрицательная функция с параметром
15 просмотров · 4 года назад
00:00
/
03:25
Евдмал ФИЗМАТ без боли
193 подписчиков
Подписаться
97534251.940.1776895110799.39592