Найти в Дзене
Войти
1,0×
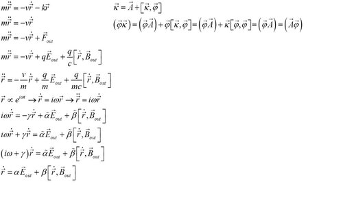
Изящное решение векторного уравнения
81 просмотр · 3 года назад
00:00
/
06:50
Евдмал ФИЗМАТ без боли
188 подписчиков
Подписаться
3752607079.1697.1759741416917.95966