Найти в Дзене
Войти
1,0×
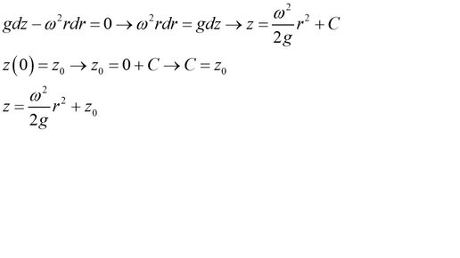
Вращающаяся жидкость или заготовка для зеркала
14 просмотров · 4 года назад
00:00
/
04:55
Евдмал ФИЗМАТ без боли
193 подписчиков
Подписаться
2429680946.1012.1777305565852.24953