Найти в Дзене
Войти
1,0×
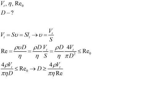
Число Рейнольдса
54 просмотра · 3 года назад
00:00
/
04:14
Евдмал ФИЗМАТ без боли
188 подписчиков
Подписаться
3403818743.1621.1761296512174.74595