Найти в Дзене
Войти
1,0×
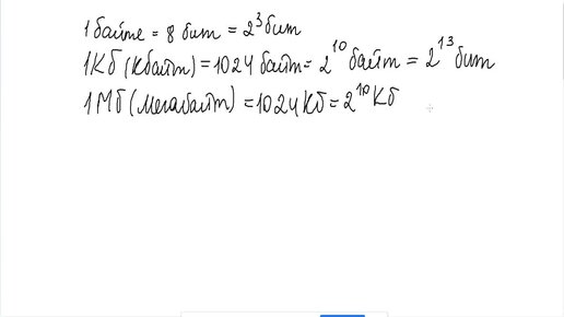
01.Единицы измерения информации. Алфавитный подход к измерению информации.
103 просмотра · 3 года назад
00:00
/
40:13
Математика и информатика
49 подписчиков
Подписаться
1353711287.1935.1766444280403.77041