Найти в Дзене
Войти
1,0×
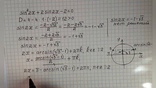
Решаем 12 задание ЕГЭ. Тригонометрическое уравнение
166 просмотров · 4 года назад
00:00
/
18:04
Математика - это просто и интересно!
9712 подписчиков
Подписаться
Хотите видеть больше публикаций по теме «Образование»?
Давайте
Часть 2 профильного ЕГЭ по математике
Подборка ·
Математика - это просто и интересно!
· 5 из
51
Далее: Решение 16 задания профильного ЕГЭ
Часть 2 профильного ЕГЭ по математике
· 5 из
51
Образование
4,84 млн интересуются
Следить за темой
2090570624.934.1775961249608.59292