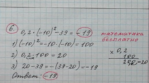
6) Найдите значение выражения 0,2•(-10)^2-39. Решу огэ. Решение с объяснением. Математика бесплатно. Математика огэ. Математика. ОГЭ по мате