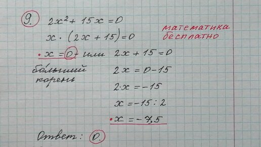
9) Решите уравнение 2х^2+15х=0. Если уравнение имеет больше одного корня, в ответ запишите больший из корней. Огэ по математике. Решу огэ.