Найти в Дзене
Войти
1,0×
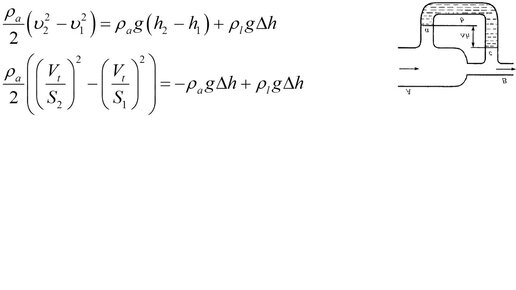
Уровни жидкости в трубках и подобие экстрактора
11 просмотров · 3 года назад
00:00
/
06:10
Евдмал ФИЗМАТ без боли
191 подписчиков
Подписаться
3383007232.1966.1766073751685.62190