Найти в Дзене
Войти
1,0×
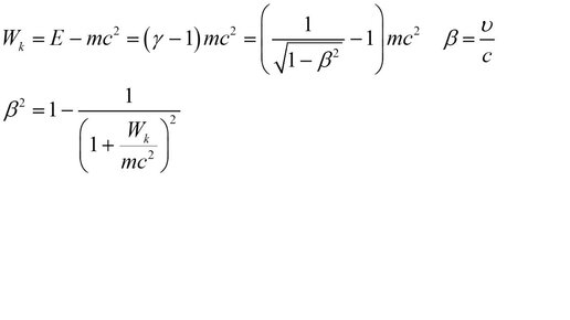
Кинетическая энергия быстрого электрона
198 просмотров · 3 года назад
00:00
/
02:51
Евдмал ФИЗМАТ без боли
190 подписчиков
Подписаться
3777985357.1776.1765582860978.37518