Найти в Дзене
Войти
1,0×
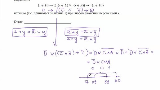
Информатика, ЕГЭ, Демо 2022 (ФИПИ), Задача 15, решение 2
33 просмотра · 4 года назад
00:00
/
10:32
Мыслиум
838 подписчиков
Подписаться
3812841875.878.1776916974426.89741